Deelnemers Rhedens Open 2025
Morgen is het zover: Dan wordt het Open Kampioenschap van de gemeente Rheden georganiseerd.
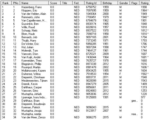
De volgende deelnemers hebben zich ingeschreven:

Geschreven op 29 november 2025.
Reacties
Reageren kan enkel als je ingelogd bent.Nieuws
01/11 | Kampioenschap Gemeente Rheden 2025 op 30 november
30/06 | Pieter Koppelaar is Clubkampioen van VSV 2024-2025
22/06 | Tijmen Meulemeesters is Jeugd Clubkampioen van Velp 2024-25
18/01 | Koen Maassen van de Brink is Snelschaakkampioen van Velp 2025
29/06 | Jan Dijkhuizen is Clubkampioen van Velp 2023-24
